1 引言
人工源电磁探测技术作为地球物理电磁探测的重要分支,在过去十年中得到快速发展。中国陆续攻克电磁探测方法的基础理论、正反演方法和核心装备技术难题,在地面电磁法、航空电磁法及海洋电磁法等领域的研究中取得了突破性进展,出现空-地-井立体探测和频-时域多尺度电磁探测新技术,实现对地下10km深度范围内目标体的有效探测。根据探测空间的不同,本文对广域电磁法、天波探测方法、时频电磁法、短偏移瞬变电磁法等地面电磁探测新方法, 以及航空电磁法(地空电磁法)、海洋电磁法、井下电磁法等领域进行介绍。
2 地面电磁探测新方法
2.1 广域电磁法
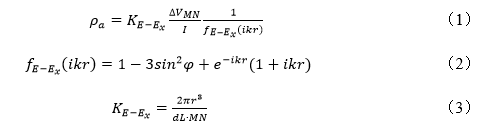
广域电磁法由何继善提出,该方法采用人工场源,根据水平电流场源和垂直磁场源在均匀半空间地面的电磁场解析表达式,定义了视电阻率,建立了一种可以在包括过渡带在内的广大区域进行测量的频率域电磁测深方法。该方法包括水平电流源和垂直磁场源两种形式,其中电流源广域电磁法(包括E-Ex和E-Ez测深方式)发射偶极矩大、探测深度高,是实际中更普遍应用的一种方法。基于均匀半空间电磁场的解析表达式推导广域视电阻率,是广域电磁法的核心技术之一,其定义为

式中,I为发射电流,dL为源长度,ρa为电阻率,MN为接收电极长度。
进入2000年之后,随着加拿大Phoenix Geophysics公司的V8、美国Zonge公司的GDP32等仪器占据市场主流地位,国产频率测深仪器不再多用,广域电磁法的优势得到普遍认可,观测范围不再限制于4~6倍探测深度的距离,测点可向近源方移动,像电磁频率测深那样可以充分利用中区勘探能力,进一步提高了观测速度、精度和野外效率。目前,这种方法的发射源相对比较笨重,在地形复杂情况下进行金属矿探测时存在一定的局限性。进一步优化发射装备的功率-体积密度比是未来的研究方向。
2.2 天波探测方法
为了兼顾大深度和高精度探测,底青云研究团队将半空间平面波传播理论发展为全空间天波曲面波理论,提出天波探测方法。天波探测方法是在天然场大地电磁法(MT)和可控源音频大地电磁法(CSAMT)基础上发展起来的一种新型人工源电磁探测技术。它通过一个大功率固定发射台发射0.1~300Hz超低频/极低频电磁信号来探测地下地质结构。天波是指在电离层-大气层-岩石层全空间中传播的电磁波,其传播路径如图1a所示。首先利用百公里长的接地导线向地下注入数百安培的交变电流,所产生的电磁波传播到电离层,并反射到地下,最后在地面观测携带地下目标体的电磁信号,获取地下电性结构分布特征。天波数据采集方法与天然场大地电磁法类似,观测三分量磁场信号和水平电场信号,图1b所示。国内学者对天波的应用已做了大量的理论和试验工作。例如,大功率发射台辐射的电磁场计算,不同距离电磁信号发射接收试验,油田深部结构探测试验等。目前,这种方法的理论基础为平面直角坐标下的电磁响应模拟计算,为了推广使用该方法,还需进一步研究球面坐标系下正演模拟,同时完善三维反演计算。

图1 天波采集站批量测试测站布设示意图(引自文献[1])
(a) 天波传播路线示意图; (b) 测站工作布设示意图.
2.3 时频电磁法
时频电磁法(TFEM)是可控源音频大地电磁测深法和长偏移距瞬变电磁法相结合的一种电磁方法。东方地球物理公司在大功率建场测试法的基础上,提出这种采用类似大偏移距地震勘探的工作方式。给大地供强电流激发油气勘探目标体,测量油气藏孔隙介质放电形成的次生电磁场和电磁场频谱。TFEM的野外施工方式类似于CSAMT法,但同时采集时间域和频率域电磁信号。从时间域数据获得电阻率信息,从频率域数据提取极化率信息,并应用这两种参数对地下油储结构进行评价。
时频电磁法的装置布设如图2所示,发射端采用大功率发电机和长导线源,激发源波形为1:1占空比的正负方波,从高频到低频连续激发,并采用叠加的方法提高信号的信噪比。接收端一次性采集到的时间域和频率域信号,为提取目标层电阻率和激电信息提供了可能。经过十余年的发展,该方法形成了视电阻率定义、约束反演等数据处理和成像技术,并在野外实际探测中获得成功应用。目前该方法主要应用于页岩气和常规油气勘探中,在金属矿资源领域的应用鲜有报道。由于金属矿具有倾角陡、目标层薄等特点,还需要进一步研究资料精细处理和相关的解释技术。

图2 时频电磁法野外施工布置图(引自文献[1])
2.4 短偏移瞬变电磁法
为了实现地下1.5km深度目标体的精细探测,薛国强团队在长偏移瞬变电磁法(LOTEM)的基础上提出了短偏移瞬变电磁法(SOTEM)。其发射源是接地电性源,利用关断的双极性电流激发电磁场,在小于2倍探测深度的偏移距范围内观测纯二次场,由于收发距离较小,所接收的信号强度较大,能够以较小的偏移距离实现大深度探测。SOTEM一定程度上提高了探测精度和施工效率,利用当前主流的电磁法仪器如V8、GDP-32等均可以实施SOTEM测量,为该方法的推广提供了有利条件。近几年,SOTEM得到了快速的发展,目前在正演模拟、视电阻率计算、反演解释、施工技术等方面形成了较为成熟的方法体系,在煤田采空区、矿产资源探测及工程勘查等方面获得了推广应用。这种方法目前主要通过进口仪器来实现数据采集,自主研发短偏移瞬变电磁法专用装备成为当务之急。

图3 短偏移瞬变电磁法野外布置示意图(引自文献[1])
3 海洋、 航空和井下电磁探测方法
3.1 海洋可控源电磁法
中国是一个海洋大国,海洋国土面积占陆地国土面积近1/3。石油、天然气以及稀有金属等各种资源在海底具有丰富的储量,发展海洋可控源电磁探测技术具有重要的意义。海洋可控源电磁法(MCSEM)采用拖曳电缆近海底发射,在海水中采用阵列式接收方式,通过发射电极向海水中发送0.1~10Hz的大功率电磁脉冲,由接收机接收海底介质返回的电磁响应信号,获得海底介质电性成像信息,实现对海底目标体的探测(图4)。天然气水合物以及油气资源储层的电导率比海水或海底沉积物的电导率小几十倍甚至上百倍,利用这种电导率物性差异来实现海底的地质构造以及油气资源电磁探测。
图4 海洋电磁法工作示意图(引自文献[1])
近年来中国海洋可控源电磁探测装备研制水平得到明显提高。中南大学研发了由甲板控制系统、万米光电复合缆、仪器舱拖体和天线拖体组成的深海6000m拖曳式瞬变电磁系统,并由大洋号第30航次第二航段在西南印度洋脊热液区,应用该系统发现了明显的电磁异常,印证了系统的有效性。目前,成套的海洋电磁探测装备在多个海域执行探测任务。
3.2 航空/地空电磁法
航空电磁法(Airborne Electromagnetic Method,AEM)是一种基于飞机平台的电磁探测方法。通过搭载于飞行平台的线圈向地下发射一次场,用传感器观测二次场,达到探测地下地质结构的目的(图5a)。该方法由于无需地面人员接近,适合在高山、沙漠、森林覆盖等地区工作。国外航空电磁发展始于20世纪中期,目前已形成时间域和频率域、主动源和被动源、固定翼和直升机平台的系列航空电磁勘查系统。国内航空电磁技术近年来得到较大提升。

图5 航空和地空电磁法工作示意图(引自文献[1])
(a)航空电磁法工作示意图;(b)地空电磁法工作示意图
半航空电磁法(Semi Airborne EM, SAEM)是一种兼顾工作效率与探测深度的航空电磁探测方法,在地面布设发射系统,通过搭载于飞行平台的接收装备观测二次场信号(图5b)。相较于传统AEM,由于SAEM发射系统置于地面,系统功率及重量不再受限于飞行平台的供电与搭载能力的限制,可实现更大功率的输出,从而获得较全航空电磁法更大的探测深度,并且降低了飞行风险。此外,由于近年来传感器与采集系统的轻小型化,及民用低成本无人机性能的显著提升,使得采用低成本无人机搭载SAEM电磁探测成为可能。
2012年,中国科学院电子学研究所由俄罗斯引进Impulse-A5直升机航空瞬变电磁系统。2013年以来,中国科学院电子学研究所联合其他单位,研制出直升机电磁探测系统CAS-HTEM。目前,CAS-HTEM系统已为多家单位提供飞行勘探服务,获得良好的探测效果。
中国最早的SAEM系统由吉林大学研发,最早在江苏省如东县开展海水侵入探测,并在内蒙古锡林郭勒盟巴彦宝利格盆地开展地下水资源探测工作。2013年起,中国科学院在国家项目支持下开展SATEM系统研发,并于2017年在位于山东省昌邑-安丘成矿带的莲花山铁矿开展了探测。当然,目前中国的航空电磁装备还处于研发阶段和试生产阶段,加快这种装备技术的推广使用是下一步的发展方向。
3.3 隧道/井下小线圈瞬变电磁法
瞬变电磁场在隧道中工作时,可以采纳的主要装置方式有两种:一种是在隧道掌子面/井下巷道独头上进行观测,以勘察前方地质结构情况(如图6a和6b所示);另一种是沿着隧道掘进/巷道方向在已开挖的空间进行观测,以调查隧道/巷道顶底面围岩情况。所获得的数据能够对观测面前方进行电阻率成像(如图6c和6d所示)。由于井下空间受限,发射线框通常采用小线圈,从而形成了小线圈井下瞬变电磁探测技术。该技术在地下隧道掌子面空间或者采煤空间利用直径或者边长为1~2m的小型线圈,在掘进面上开展探测,可圈定前方低阻富水体。这种方法的难点在于全空间理论模拟问题,目前的全空间理论研究还不完善,还需要提高全空间视电阻定义和计算的精度。
图6 隧道/井下小线圈瞬变电磁工作示意图(引自文献[1])
(a)隧道探测原理图;(b)隧道探测工作示意图;(b)煤矿井下探测原理图;(d)煤矿井下探测成果示意.
3.4 地井电磁探测方法
地井电磁探测方法将发射源布设于地面,在地下(井中)观测电磁响应信号(如图7所示)。这种装置形式有效地避免了地表电磁干扰及低阻覆盖层影响。此外,在钻孔的周边布设多个发射源,利用不同方位的钻孔进行测量,可以判断异常体的空间位置和延伸,实现对地下目标体的精确追踪和定位。
图7 地井电磁探测方法工作示意图(引自文献[1])
参考文献
[1] 底青云, 薛国强, 殷长春等. 中国人工源电磁探测新方法[J]. 中国科学: 地球科学, 2020, 50(9): 1219-1227.
[2] 底青云, 朱日祥, 薛国强等. 我国深地资源电磁探测新技术研究进展[J]. 地球物理学报, 2019, 62(6): 2128-2138.
[3] 何继善, 薛国强. 短偏移距电磁探测技术概述[J]. 地球物理学报, 2018, 61(1): 1-8.