1 引言
电磁勘探法具有探测深度深、分辨率高、方便快捷、成本低的特点,已成为资源探测领域不可或缺的一种地球物理方法,近年来在石油、金属矿、天然气、地热、地下水的勘探中发挥着重要作用。随着经济社会和人文活动发展,电磁干扰信号越来越强,特别是在危机矿山,工业电、民用电、机械干扰、随机干扰、尖峰干扰等各种干扰混杂在一起。为了克服干扰信号的影响,传统的做法主要通过发射端增加发射功率,接受端仪器陷波、数字滤波和多次叠等方法实现对干扰信号的压制。当干扰信号不是很强时可以取得不错的效果,但在强干扰区利用现有的仪器和方法很难再获得高信噪比的电磁信号。针对此种情况,电法工作者将伪随机序列引入电法勘探中,在抑制干扰信号方面取得了不错效果。鉴于伪随机序列的抗噪能力,近年来国内正在掀起伪随机编码仪研制的高潮。
2 伪随机编码信号
伪随机编码又叫伪噪声码,简称PN(Pseudo Noise)码,是一种具有类似白噪声性质的,其瞬态值服从正态分布,功率谱在很宽的频带内是均匀的,且具有良好的相关特性,常见地伪随机码有m序列编码、Gold序列编码以及Golay互补码等。其中,m序列伪随机码作为目前应用最广泛的一种伪随机系列已被应用于通信领域,如扩频通信、卫星通信的码分多址、数字数据中的加密等领域。
2.1 m序列产生机理
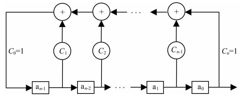
m序列是由线性反馈移位寄存器(图1)生成的最长线性反馈移位寄存器序列,其周期为
,n为移位寄存器的阶数。通过调整移位寄存器起始状态和反馈线链接状态,可以实现对m序列进行编码。

图1 线性反馈移位寄存器示意图(引自文献[1])
图1为线性反馈移位寄存器示意图,其中a为移位寄存器的状态,C为反馈系数,C=0表示断开,而C=1表示链接。码元的新状态由阶串接寄存器线性抽头经模2加法反馈获得。
2.2 m序列特性
m序列具有很多优良性质:(1)均衡性:在一个周期内“1”元素出现的次数比“0”元素出现的次数多1;(2)游程特性:一个周期内共有个2n-1游程,且“0”元素的游程和“1”元素的游程各占一半,长度为
的游程数占游程总数的1/2k;(3)优良的自相关特性:m序列具有尖锐的自相关函数,其码长越长且码元宽度越小,m序列的自相关函数越接近脉冲函数。
2.3 m序列频谱成分分析
在传统电磁法中,一般发射方波作为激励源。这种波形在电子元件上容易实现,然而其频率成分比较单一,如图2所示,能量主要集中在基频及其奇次谐波上,且随频率增加能量迅速衰减,基波及3次谐波的功率占方波总功率的90%以上。为了丰富发射波形的频谱成分,何继善提出了伪随机观测方案,设计并发射2n系列伪随机信号,2n系列的能量主要集中在主频
上,且主频上的幅值基本相等,随着的增大频带变宽。与前两种发射波形不同,m序列伪随机码具有较宽的频带,谱线之间是等间隔的,包含更多的频率信息,而且其包含直流成分,这是前两种波形所没有的。

图2 发射波形及频谱特征(引自文献[1])
(a1)方波波形;(b1)5阶2n序列;(c1)5阶m序列;
(a2)方波振幅谱;(b2)5阶2n序列振幅谱;(c2)5阶m序列振幅谱.
将m序列作为发射电流波形,影响其勘探能力的主要参数包括m序列的阶数、码元宽度、重复发射周期数以及电流强度。码元宽度和阶数影响频带宽度及能量分布。码元宽度越大,阶数越低,频带就越窄,能量主要集中在低频部分,勘探深度越大,信噪比也越高。然而由于高频成分的缺失必将造成分辨率降低。码元宽度越小,阶数越高,频带就越宽,高频成分增加,分辨率将得到提高。然而由于能量被均匀分配到整个频带范围内,势必造成单个频率成分能量降低,降低信噪比。电流强度越大,重复发射次数越多,压制噪声的能力就越强,信噪比越高。随之对发射机的硬件要求就越高,工作效率降低。在实际工作当中,应综合考虑信噪比、分辨率和勘探深度,根据勘探目标合理调整m序列的相关参数,才能达到理想的勘探效果。
3 伪随机编码发射技术的典型应用
随着国民经济的发展,需要探测埋深更深、精度更高的目标体时,一些新技术新方法被陆续提出来。2002年,由英国爱丁堡大学的Wright和Ziolkowski等人提出了一种瞬变电磁探测新技术—多通道瞬变电磁法(Multi-channel Transient Electromagnetic Method,MTEM)。2010年何继善提出了可提高分辨率及加大勘探深度的广域电磁法及相关技术。在这些新方法中,都引入了伪随机编码发射技术,其全新的处理方式及应用效果引起各个研究机构的关注。
3.1 广域电磁法应用案例
宁夏固原地区位于鄂尔多斯盆地西南缘,2000年至今利用地震勘探等手段,在侏罗系延安组、三叠系延长组发现了多个含油富集区,油藏类型为构造岩性油藏。但该地区河谷残塬、黄土丘陵广泛分布,地表剥蚀、侵蚀严重,其独特的地质、地貌环境对常规深层油气检测技术带来了挑战,常常出现地震资料采集难度大、成本高、数据品质较差等问题,因此有必要开发利用新的油气探测方法进行深部油气探测。中南大学王宏宇等人(2020)利用广域电磁法在鄂尔多斯盆地西南缘含油富集区—宁夏固原地区进行方法应用研究,采用“重磁电三维反演成像解释一体化系统”进行广域电磁法数据处理。获得了地下真实的电性分布(图3),建立了广域视电阻率与目标层的电性关系,精细刻画了研究区内低幅构造与鼻状构造的发育情况以及圈闭特征。在综合研究的基础上,基本查明了测区内延安组地层、延长组地层分布、厚度及构造圈闭等信息,形成了适用于鄂尔多斯盆地西南缘油气勘探的广域电磁数据采集及处理方法。研究表明广域电磁法在该地区可作为优选含油富集区的有效探测手段。
图3 三维反演东西向过演77#切片(-1100~0m开窗图示)(引自文献[3])
3.2 多道瞬变电磁法应用案例
内蒙古某铅锌银矿由于埋藏较深,且顺层赋存于中高阻的火山岩中,运用传统的电磁方法无法完全满足探测目的,多通道瞬变电磁方法为解决这一问题提供了新的思路。底青云团队根据内蒙古某铅锌银矿地层条件设计地质模型,计算了沿测线方向大地脉冲响应,发现沿测线方向电场的大地脉冲响应能有效反映大埋深异常体的信息,然后,通过在该铅锌银矿的探测实例,研究多通道瞬变电磁技术在探测陆地深部低阻矿体的潜力,对实际数据进行了奥克姆反演(图4),其结果与钻孔资料对比,说明了多通道瞬变电磁法能够有效识别深部低阻异常体以及提高探测深度,进一步表明多通道瞬变电磁法在探测埋深较大的低阻矿体方面具有较好的应用前景。

图4 (a)MTEM电阻率断面图;(b)4260处反演曲线(引自文献[4])
参考文献
[1] 齐彦福, 殷长春, 王若等. 多通道瞬变电磁m序列全时正演模拟与反演[J]. 地球物理学报, 2015, 58(7): 2566-2577.
[2] 王显祥, 底青云, 王妙月等. 基于m伪随机序列的电磁法抗噪能力分析[J]. 地球物理学报,2016, 59(5): 1861-1874.
[3] 王宏宇, 李帝铨, 柳建新, 薛国强, 郭文波. 广域电磁法在鄂尔多斯盆地西南缘含油富集区探测中的应用[J]. 地球物理学进展, 2020, 35(3): 1038-1047.
[4] 欧阳涛,底青云,薛国强等. 利用多通道瞬变电磁法识别深部矿体——以内蒙兴安盟铅锌银矿为例[J]. 地球物理学报, 2019, 62(5): 1981-1990.