1、引言
电阻率测量作为最知名和最常用的调查技术之一,已广泛应用于环境调查、工程前景、水文调查和采矿应用。使用观测数据进行的地质解释通常远不能揭示地下特性的复杂特征。因此,为了满足地质解释的目的,地球物理反演方法不断地专注于重建更准确和详细的地下特性。经过多年的发展,非线性优化方法已广泛应用于ERS逆问题,如遗传算法、模拟退火算法、粒子群优化等。特别是,人工神经网络不是优化电阻率模型,而是通过更新网络参数直接建立视电阻率数据和电阻率模型之间的映射。使用人工神经网络,在合成和现场测试中都获得了一些重要的ERS 反演结果。通常,人工神经网络通过从损失函数导出的梯度进行优化。由于梯度消失、爆炸问题,一开始就不容易训练出具有强大建模能力的深度和大型人工神经网络。因此,存在一些限制,例如收敛速度慢、精度低,解决这些问题,将会加快推理速度和实现高精度反演。
2.方法原理
基于普遍使用的 U-Net 架构,设计网络(图1),为了减少在我们的任务中应用 CNN 时的潜在歧义,引入了层特征(图2),并将其映射连接到输入数据以补充层位置信息,将层位信息引入视电阻率数据可以看作是对CNNs的深度信息的补充。

图 1 U-Net架构。
(特征图上方的黑色数字表示特征图的通道数,而特征图旁边的红色数字表示它们的空间维度。蓝色箭头表示卷积层,紫色箭头表示额外的残差连接。红色箭头表示对特征图进行下采样的最大池操作,而黄色箭头表示对特征图进行上采样的转置卷积。绿色箭头是将特征图从浅层连接到深层的快捷方式)

图 2 (a) 层特征图具有层结构,每个层中的元素具有该值等于层数;(b) 连接层特征图后的实际输入数据。
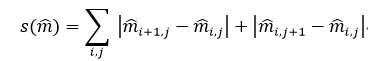
在损失函数方面,值回归问题,普遍使用均方误差 (MSE)函数:

深度加权函数dw:

有利于抵消静态场的自然衰减,以克服将测量置于地表的影响。其有效性已得到证实。
电阻率反演任务在数学上是不适定的,通常解是非唯一且不稳定的。解决这个问题的一种方法是采用经过充分测试的平滑度约束最小二乘法。受平滑约束的限制,电阻率模型中相邻网格之间的突变会减少。通过引入平滑项来执行平滑约束:

起到正则化的作用,也称为总变差损失。
损失函数的最终形式为:

最后通过正演建模得到大量模型数据(图3)

图 3 模型构建图

图 4 真实模型(第一列)、ERSInvNet的反演结果(第四列)以及测试集上相应的视电阻率数据(第二和第三列)。由截断线表示的电阻率模型的垂直和水平剖面显示在最右边的列中,用于比较反演的电阻率值。从上到下的行展示了异常体,第二列和第三列中的黄色数字表示视电阻率值。
实验表明,包含层级特征图有助于获得更准确的反演结果并抑制虚假异常。单独使用平滑约束和深度加权函数可以减少错误异常或提高深度区域的预测精度。但是,它会牺牲其他方面的性能。然后,两者同时使用,可以互惠互利,达到最好的效果,通过全面的定性分析和定量比较来证明。此外,与传统方法相比,ERSInvNet 在测试过程中可以达到非常快的推理速度和更准确的反演结果。
3.工程案例
在中国云南省德侯水库工程防水帷幕灌浆区进行。根据初步地质调查,施工区位于以碳酸盐岩为主的基岩中。岩体中发育的岩溶系统(溶洞、腐蚀裂缝)可能导致库区漏水。因此,现场数据来自调查,为确定库区漏水调查的地下含水岩溶结构而进行。

图 5 现场测试结果,(a) ERSInvNet的反演结果;(b)研究区地质钻探结果。
反演结果表明存在两个低电阻率区,最小电阻率小于10米。R1位于21-89 m (长度)和18-30 m (深度),而R2位于111-124 m (长度)和6-19m(深度)。R1个区域可能是白云岩石灰岩地层中的疑似含水层,并且R2 区可推断为含水溶洞。地质钻探结果见图15(b)。低电阻率地区与钻探结果吻合。根据解释,我们推断研究区发生漏水的可能性较大。
研究成果近期发表于国际学术期刊IEE Signal Processing Letters (B. Liu, P. Jiang, Q. Guo and C. Wang, "Deep Learning Inversion of Electrical Resistivity Data by One-Sided Mapping," in IEEE Signal Processing Letters, vol. 29, pp. 2248-2252, 2022, doi: 10.1109/LSP.2022.3217409.)